声学楼论坛技术交流区电声器件与系统设计音箱及分频器设计室 → 一种长短双倒相管音箱


  共有12008人关注过本帖树形打印复制链接

主题:一种长短双倒相管音箱

帅哥哟,离线,有人找我吗?
xiushuicunren
  1楼 | 信息 | 搜索 | 邮箱 | 主页 | UC


加好友 发短信 修水 村人
等级:青蜂侠 帖子:1597 积分:10223 威望:0 精华:0 注册:2010-1-12 23:03:00
一种长短双倒相管音箱  发帖心情 Post By:2010-10-23 9:10:51 [只看该作者]

 

               一种有长短双倒相管的音箱

 

采用双倒相管的音箱不少,但是,这两根倒相管是一样的。

有一种音箱,它也是两根倒相管,但是这两根倒相管的谐振频率不一样,就是两根倒相管大小一样,但是长度不同。

比如:这两根倒相管的谐振频率差4Hz,而且分布在箱体的谐振频率的两侧。

 

这样的方法,有什么意义?

在理论上行得通吗?

 

请DX们指教了。

 


 回到顶部
帅哥哟,离线,有人找我吗?
xiushuicunren
  2楼 | 信息 | 搜索 | 邮箱 | 主页 | UC


加好友 发短信 修水 村人
等级:青蜂侠 帖子:1597 积分:10223 威望:0 精华:0 注册:2010-1-12 23:03:00
  发帖心情 Post By:2010-10-23 10:18:49 [只看该作者]

俞锦元先生说:

    ......在实际上,这个办法仍是有效的集中参数,箱体仍然调谐在单一的Fb上。

 

那么,有什么差别呢?

等着大家的分析了。


 回到顶部
帅哥哟,离线,有人找我吗?
meiloon
  3楼 | QQ | 信息 | 搜索 | 邮箱 | 主页 | UC


加好友 发短信
等级:侠之大者 帖子:289 积分:2029 威望:0 精华:0 注册:2010-1-9 21:10:34
  发帖心情 Post By:2010-10-23 18:50:43 [只看该作者]

我同意俞锦元说的。


 回到顶部
帅哥哟,离线,有人找我吗?
国明
  4楼 | 信息 | 搜索 | 邮箱 | 主页 | UC


加好友 发短信
等级:蜘蛛侠 帖子:1443 积分:10273 威望:0 精华:5 注册:2005-11-10 16:39:36
  发帖心情 Post By:2010-10-24 1:28:13 [只看该作者]

俞锦元说得不错,但是计算起来并不是那么简单.

这个问题实际上等效为:两根倒相管(或多个倒相管),求等效后的一个倒相管(声学化简问题)

如果两根倒相管是同样口径,同样长度, 那么归一化很简单, 等于一根口径是原来的根号2倍,长度相同的管. 否则,就要考虑两个不同倒相管

的元件组成的电桥阻值不同带来的差异,进行归一化简.

一般用电声等效类比图处理会比较容易.

建议读一下南大版的<声学基础>

 

另外这种设计(两根管长短不同)很少出现在音箱设计里面, 属于乐器设计的范畴, 毕竟音箱同乐器差异还是很大的. 如果两根倒相管长短不同(甚至

三根倒相管长短,口径都完全不同), 很难调整, 设计上不易控制.


 回到顶部
帅哥哟,离线,有人找我吗?
xiushuicunren
  5楼 | 信息 | 搜索 | 邮箱 | 主页 | UC


加好友 发短信 修水 村人
等级:青蜂侠 帖子:1597 积分:10223 威望:0 精华:0 注册:2010-1-12 23:03:00
  发帖心情 Post By:2010-10-24 11:22:34 [只看该作者]

谢谢国明兄详尽的解说了。

 

我所说的是指两根大小相同但是长短不同的倒相管的,而且也真的很少看到有这样的产品。

 

这个案例是在《高保真放大器与音箱制作精选》,(作者张维国)里面的一个作者特别介绍的“并联式”双调谐倒相音箱。(见P.231)。

内容相当多。只是没有什么曲线可以看,所以不甚了了的。

 

那么,如果理论上成立,按照你说的只是很难调整的话,就是说还是可以调整的吧?

 

真的,如果是三根呢?

看来,倒相管也还是有很大学问的了。

 

请各位多多指点了。

 

 


 回到顶部
帅哥哟,离线,有人找我吗?
xiushuicunren
  6楼 | 信息 | 搜索 | 邮箱 | 主页 | UC


加好友 发短信 修水 村人
等级:青蜂侠 帖子:1597 积分:10223 威望:0 精华:0 注册:2010-1-12 23:03:00
  发帖心情 Post By:2010-10-24 14:47:59 [只看该作者]

根据国明兄“甚至是三根倒相管”的提示,想起来好像在哪里看到过这样的东西。

 

现在找到了,是在《扬声器系统》,山本武夫的书的“导声管的各种形式”(P.200)一节里就有这样的结构了。

但是,作者只是说“利用不同长度的管子来分散导声管的共振,以获得平滑的特性”。

再也没有更多的解说了。

这和作者先前说过倒相箱的声压“还有受到导声管本身共振频率的影响”的说法是一脉相连的。

 

到底这样的结构会怎么样?

还请各位来分析了......

谢谢!

[此贴子已经被作者于2010-10-24 14:48:30编辑过]

 回到顶部
美女呀,离线,留言给我吧!
听风
  7楼 | 信息 | 搜索 | 邮箱 | 主页 | UC


加好友 发短信
等级:新手上路 帖子:329 积分:1973 威望:0 精华:1 注册:2010-11-9 9:06:16
  发帖心情 Post By:2010-11-9 20:26:12 [只看该作者]

。。。。

 

自己钉个箱子,开两个倒相管的孔,

 

自己实验一下长短管是什么效果。

 

再做汇报吧。

 

 

楼主的案例就像一个人一只脚穿鞋子,一只脚不穿鞋子。

请问他站起来的身高到底是全高还是半高.....


 回到顶部
帅哥哟,离线,有人找我吗?
国明
  8楼 | 信息 | 搜索 | 邮箱 | 主页 | UC


加好友 发短信
等级:蜘蛛侠 帖子:1443 积分:10273 威望:0 精华:5 注册:2005-11-10 16:39:36
  发帖心情 Post By:2010-11-10 4:34:20 [只看该作者]

以下是引用xiushuicunren在2010-10-24 14:47:59的发言:

根据国明兄“甚至是三根倒相管”的提示,想起来好像在哪里看到过这样的东西。

 

现在找到了,是在《扬声器系统》,山本武夫的书的“导声管的各种形式”(P.200)一节里就有这样的结构了。

但是,作者只是说“利用不同长度的管子来分散导声管的共振,以获得平滑的特性”。

再也没有更多的解说了。

这和作者先前说过倒相箱的声压“还有受到导声管本身共振频率的影响”的说法是一脉相连的。

 

到底这样的结构会怎么样?

还请各位来分析了......

谢谢!

[此贴子已经被作者于2010-10-24 14:48:30编辑过]

 山本的观点只是概念性的, 他自己恐怕都不相信, 所以只是说说而已. 你见过先锋哪一款音箱是使用山本说的"多导管分散共振"理论来设计箱体的?

 没有. 所以理论是理论, 实践是另一回事.

 

 


 回到顶部
帅哥哟,离线,有人找我吗?
路人甲
  9楼 | 信息 | 搜索 | 邮箱 | 主页 | UC


加好友 发短信
等级:新手上路 帖子:396 积分:2552 威望:0 精华:0 注册:2006-10-22 13:27:03
  发帖心情 Post By:2010-11-10 7:57:36 [只看该作者]

用LSPCAD模拟不就行了?

 



别人笑我太疯癫,我笑他人看不穿
不见五陵豪杰墓,无花无酒锄作田
 回到顶部
帅哥哟,离线,有人找我吗?
Tannoyman
  10楼 | 信息 | 搜索 | 邮箱 | 主页 | UC


加好友 发短信 无为(老子语)
等级:新手上路 帖子:222 积分:1543 威望:0 精华:0 注册:2009-11-5 11:24:55
  发帖心情 Post By:2010-11-10 9:25:01 [只看该作者]

以下是引用路人甲在2010-11-10 07:57:36的发言:

用LSPCAD模拟不就行了?

 

上COMSOL



别人笑我太疯癫,我笑他人看不穿!
疯癫之人,必有过人之处!
 回到顶部
帅哥哟,离线,有人找我吗?
Richey
  11楼 | 信息 | 搜索 | 邮箱 | 主页 | UC


加好友 发短信
等级:新手上路 帖子:6 积分:60 威望:0 精华:0 注册:2008-8-4 13:25:38
  发帖心情 Post By:2010-11-10 19:00:01 [只看该作者]

以下是引用听风在2010-11-09 20:26:12的发言:

。。。。

 

自己钉个箱子,开两个倒相管的孔,

 

自己实验一下长短管是什么效果。

 

再做汇报吧。

 

 

楼主的案例就像一个人一只脚穿鞋子,一只脚不穿鞋子。

请问他站起来的身高到底是全高还是半高.....

 

呵呵,,要条件呀!


 回到顶部
帅哥哟,离线,有人找我吗?
qige
  12楼 | 信息 | 搜索 | 邮箱 | 主页 | UC


加好友 发短信
等级:新手上路 帖子:49 积分:833 威望:0 精华:0 注册:2007-9-4 16:41:38
  发帖心情 Post By:2010-11-14 15:49:13 [只看该作者]

     回答这样的问题,首先要搞清楚倒相管的作用,倒相管是配合箱体容积,吸音材料及低音单元,共同决定倒相箱的谐振频率的,对音箱谐振频点的要求是,与装箱后的单元谐振频点相同,两者越接近越好,越接近一致,单元的振动冲程越受到箱体谐振的抑制,因而降低了低频失真,同时增大了低音单元的功率承受额。低音单元的阻抗单峰被谐振波抑制成双峰,也使低频下限向下得到延伸,扩展了低频。
     用多只倒相管是可以的,但应该相同的规格尺寸,这样容易控制箱体的谐振频点,确保与单元装箱后的谐振频点相同,如果用一长一短两只倒
相管,如果长度差别不大,仍可有效抑制单元的谐振,如果长度差别大,抑制单元谐振的能力就弱化了。因此个人认为,没有必要故意用2只或多只不同长度倒相管来抑制单元谐振。多只倒相管时,应该选用相同尺寸。舍近求远是不必要的。


 回到顶部
帅哥哟,离线,有人找我吗?
qige
  13楼 | 信息 | 搜索 | 邮箱 | 主页 | UC


加好友 发短信
等级:新手上路 帖子:49 积分:833 威望:0 精华:0 注册:2007-9-4 16:41:38
  发帖心情 Post By:2010-11-14 15:59:07 [只看该作者]

以下是引用xiushuicunren在2010-10-24 14:47:59的发言:

根据国明兄“甚至是三根倒相管”的提示,想起来好像在哪里看到过这样的东西。

 

现在找到了,是在《扬声器系统》,山本武夫的书的“导声管的各种形式”(P.200)一节里就有这样的结构了。

但是,作者只是说“利用不同长度的管子来分散导声管的共振,以获得平滑的特性”。

再也没有更多的解说了。

这和作者先前说过倒相箱的声压“还有受到导声管本身共振频率的影响”的说法是一脉相连的。

 

到底这样的结构会怎么样?

还请各位来分析了......

谢谢!

[此贴子已经被作者于2010-10-24 14:48:30编辑过]


 回到顶部
帅哥哟,离线,有人找我吗?
qige
  14楼 | 信息 | 搜索 | 邮箱 | 主页 | UC


加好友 发短信
等级:新手上路 帖子:49 积分:833 威望:0 精华:0 注册:2007-9-4 16:41:38
  发帖心情 Post By:2010-11-14 16:15:48 [只看该作者]

利用不同长度的管子来分散导声管的共振,以获得平滑的特性。

这是牺牲低频谐振换来的平滑,我们希望谐振频点要与低音单元装箱后的谐振频点保持一致,任何破坏一致的行为都是不可取的。谐振波不可避免的会带来多次谐波,反映在近场测试时的频响曲线上就是系列峰谷。对较高频率的谐波可通过吸音材料加以吸收。对较低频率的谐波,吸引材料吸收率会越来越低,实际上较低频率的,尤其是二次谐波,对低频实际听感会起到一个加强的作用。


 回到顶部
帅哥哟,离线,有人找我吗?
音响初哥
  15楼 | 信息 | 搜索 | 邮箱 | 主页 | UC


加好友 发短信 东厂仅一位
等级:超级版主 帖子:2753 积分:21830 威望:10 精华:20 注册:2005-10-31 11:19:00
  发帖心情 Post By:2010-11-18 3:42:45 [只看该作者]

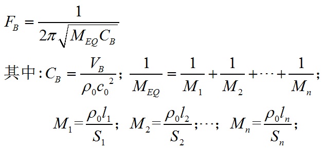
理论上再多管子,也可以等效为一个管子;

 


图片点击可在新窗口打开查看此主题相关图片如下:1.jpg
图片点击可在新窗口打开查看



设计及承建消声室/试听室;提供专业隔声门/吸声尖劈
mobile:13632682797
qq:93514358
 回到顶部
帅哥哟,离线,有人找我吗?
carsound
  16楼 | 信息 | 搜索 | 邮箱 | 主页 | UC


加好友 发短信
等级:新手上路 帖子:117 积分:1095 威望:0 精华:0 注册:2006-7-5 17:53:40
  发帖心情 Post By:2010-11-19 17:09:08 [只看该作者]

不過大家有沒有想過,多了根倒相管,相位會不會有所不同。


 回到顶部
帅哥哟,离线,有人找我吗?
xiushuicunren
  17楼 | 信息 | 搜索 | 邮箱 | 主页 | UC


加好友 发短信 修水 村人
等级:青蜂侠 帖子:1597 积分:10223 威望:0 精华:0 注册:2010-1-12 23:03:00
  发帖心情 Post By:2010-11-21 8:28:43 [只看该作者]

以下是引用carsound在2010-11-19 17:09:08的发言:

不過大家有沒有想過,多了根倒相管,相位會不會有所不同。

倒相管不是一根的音箱,不少吧?

 

我的一个达呢皇太子落地箱,就一个前,一个后的两个倒相管。

其他的音箱也有不少是这样的吧?尚菲的SF-100号角音箱也是。


 回到顶部
帅哥哟,离线,有人找我吗?
okk
  18楼 | 信息 | 搜索 | 邮箱 | 主页 | UC


加好友 发短信
等级:新手上路 帖子:279 积分:1696 威望:0 精华:2 注册:2006-1-20 17:30:56
  发帖心情 Post By:2010-12-6 11:20:41 [只看该作者]

常用的几个设计软件好象仿真不了这样的结构。?

 回到顶部
帅哥哟,离线,有人找我吗?
路人甲
  19楼 | 信息 | 搜索 | 邮箱 | 主页 | UC


加好友 发短信
等级:新手上路 帖子:396 积分:2552 威望:0 精华:0 注册:2006-10-22 13:27:03
  发帖心情 Post By:2010-12-6 11:51:28 [只看该作者]

以下是引用okk在2010-12-06 11:20:41的发言:
常用的几个设计软件好象仿真不了这样的结构。?

谁说的,LSPCAD 6 / LEAP 5都可以模拟。



别人笑我太疯癫,我笑他人看不穿
不见五陵豪杰墓,无花无酒锄作田
 回到顶部