声学楼论坛技术交流区电声器件与系统设计音箱及分频器设计室 → 传输线音箱N议(之一):为什么传输线音箱很难调整?


  共有5817人关注过本帖树形打印复制链接

主题:传输线音箱N议(之一):为什么传输线音箱很难调整?

帅哥哟,离线,有人找我吗?
xiushuicunren
  1楼 | 信息 | 搜索 | 邮箱 | 主页 | UC


加好友 发短信 修水 村人
等级:青蜂侠 帖子:1597 积分:10223 威望:0 精华:0 注册:2010-1-12 23:03:00
传输线音箱N议(之一):为什么传输线音箱很难调整?  发帖心情 Post By:2012-1-4 9:30:21 [只看该作者]

  新年伊始,议论一下争论很多的传输线音箱如何?

  想了一些,也在论坛里说过,但也还是想系统的来梳理一下,在大家的议论中求得个明白。

  N议,至少N>1的......

 

 N议之一:

                                     为什么传输线音箱会很难调整


传输线音箱,给人的一个印象是很难设计、调整或处理。

为什么呢?

徐岩在他的长篇连载“小型音箱的设计与制作”的第34期(《实用影音技术》2011年11期),对传输线音箱一段时间以来的各种各样的制作做了一个很好的对比:即采用同样的扬声器单元和同样的音箱体积,设计了一个传统的倒相箱和一个传输线音箱,并进行了吸声材料的选择和安放等等试验,并给出了相应的测试结果。

作者先给出了两种音箱在各自的开口处的近场测试得到的声压频率曲线:(见附件)

从这两个开口处的声压频率曲线可以看到:

倒相箱的低音谐振频率只有一个,而传输线音箱则除了基本谐振频率外还有几个奇数倍的谐振频率(驻波不计),而且峰也更高。

我们在设计的时候,并不希望这些高次的谐波从开口出来。因为所有这些外泄的高次谐波,会对音箱的音质起很大的不良影响。

此外倒相箱的一些峰是驻波引起的,峰也较低而且远离较低的频段,采用适当的吸声材料就可以达到较好的吸收的,这是简单的事情。

而传输线音箱的一些峰则会在较低的频段(如250Hz附近),这要处理起来就不是一件简单的事情的了,因为多数吸声材料在这个较低的频段的吸声系数都不大。

所以,很多做传输线音箱的公司会把他们的这些吸声材料的应用技术作为一件“技巧”来说事的。一些DIY者,由于测试手段等方面的原因,也往往在这个问题上吃尽苦头,却很难会苦尽甘来。

从开口处的声压频率特性看,传输线音箱是问题多多的了。

我是这样认为的。


是不是这样的呢?

新年伊始,请大家一起来议论和指点了。

谢谢!

附件:

[此贴子已经被作者于2012-01-04 11:12:10编辑过]

 回到顶部
帅哥哟,离线,有人找我吗?
xiushuicunren
  2楼 | 信息 | 搜索 | 邮箱 | 主页 | UC


加好友 发短信 修水 村人
等级:青蜂侠 帖子:1597 积分:10223 威望:0 精华:0 注册:2010-1-12 23:03:00
  发帖心情 Post By:2012-1-4 9:31:37 [只看该作者]


图片点击可在新窗口打开查看此主题相关图片如下:倒相箱开口处曲线.jpg
图片点击可在新窗口打开查看

图片点击可在新窗口打开查看此主题相关图片如下:传输线音箱开口处曲线.jpg
图片点击可在新窗口打开查看

 回到顶部
帅哥哟,离线,有人找我吗?
xiushuicunren
  3楼 | 信息 | 搜索 | 邮箱 | 主页 | UC


加好友 发短信 修水 村人
等级:青蜂侠 帖子:1597 积分:10223 威望:0 精华:0 注册:2010-1-12 23:03:00
  发帖心情 Post By:2012-1-7 16:11:43 [只看该作者]

谢谢这么多人的关注了。

其实,音箱的调整也许从来就有这样的问题:

倒相箱,就比密闭箱难调整一些的。这是为什么呢?

也许就是开口惹的祸。

 

但成也开口,败也开口。不然就不会有开口箱的存在了。

如果音箱的开口处出来的声波,只是我们需要的声波,那该多好。

可是,现实却不是这样。

我们在这类音箱里所做的一些努力,其中的一部分就是想得到这样的结果的吧?

 

所以,从音箱的开口处的声波的频响曲线是不是可以发现问题,就是一个值得讨论的话题了。

 

还请各位继续关注和指点了!

[此贴子已经被作者于2012-01-07 16:15:42编辑过]

 回到顶部
帅哥哟,离线,有人找我吗?
水仙
  4楼 | QQ | 信息 | 搜索 | 邮箱 | 主页 | UC


加好友 发短信 电声从业人员
等级:超级版主 帖子:6565 积分:51373 威望:10 精华:39 注册:2005-10-28 8:32:06
  发帖心情 Post By:2012-1-11 15:28:07 [只看该作者]


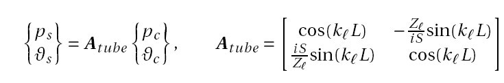
图片点击可在新窗口打开查看此主题相关图片如下:tube.jpg
图片点击可在新窗口打开查看

 

"村人"很执著!

 

简化模型,可以用上面公式,就是扬声器背面声压和声管开口处的声压转换计算方法.



声学楼--声学工程师之家
QQ:350824984,邮件:adrian_chi@163.com,微博:adrian_chi,微信:adrian_chi
 回到顶部
帅哥哟,离线,有人找我吗?
水仙
  5楼 | QQ | 信息 | 搜索 | 邮箱 | 主页 | UC


加好友 发短信 电声从业人员
等级:超级版主 帖子:6565 积分:51373 威望:10 精华:39 注册:2005-10-28 8:32:06
  发帖心情 Post By:2012-1-11 15:30:56 [只看该作者]

箱体会有谐振,同样长管也会有"谐振"且既不成偶数比也不成奇数比,严格来说是不成整数比.


声学楼--声学工程师之家
QQ:350824984,邮件:adrian_chi@163.com,微博:adrian_chi,微信:adrian_chi
 回到顶部
帅哥哟,离线,有人找我吗?
xiushuicunren
  6楼 | 信息 | 搜索 | 邮箱 | 主页 | UC


加好友 发短信 修水 村人
等级:青蜂侠 帖子:1597 积分:10223 威望:0 精华:0 注册:2010-1-12 23:03:00
  发帖心情 Post By:2012-1-11 16:13:33 [只看该作者]

谢谢超版了!

 

的确,谐振也真的不是整数比的。不过,在“粗看”起来,是有一个这样的比例关系的。

 

说“执着”,不敢当;只怕是有的时候可能是钻进“牛角尖”里了,还不知道回头.....

所以,要在此讨教的。

 

如果到了可以用一个数学模型来阐述这样的问题,就科学了。

可惜超版说的我现在是看不懂的......

在和一个行业的前辈闲谈的时候,他也说到过“可以请水仙兄帮忙做深入研究,建立一个数学模型后,就会在理论方面得到提高......"。

日后有机会当前去讨教了。

 

 


 回到顶部
帅哥哟,离线,有人找我吗?
xiushuicunren
  7楼 | 信息 | 搜索 | 邮箱 | 主页 | UC


加好友 发短信 修水 村人
等级:青蜂侠 帖子:1597 积分:10223 威望:0 精华:0 注册:2010-1-12 23:03:00
  发帖心情 Post By:2012-1-11 16:17:48 [只看该作者]

超版来了,你们呢?

 

继续期待着各位的砖头或指点。


 回到顶部
帅哥哟,离线,有人找我吗?
xiushuicunren
  8楼 | 信息 | 搜索 | 邮箱 | 主页 | UC


加好友 发短信 修水 村人
等级:青蜂侠 帖子:1597 积分:10223 威望:0 精华:0 注册:2010-1-12 23:03:00
  发帖心情 Post By:2012-1-16 10:20:23 [只看该作者]

 

传输线型音箱较难调整的一个例子 

                                         

“小型音箱的设计与制作”一文,对一个恒定断面的传输线音箱进行了系统的测试对比,希望寻找到一个较好的吸声材料在用量和安置位置的结果。

    下面是系列的测试结果,吸声材料的量和放置的位置有很多方式,下面的典型的几个:

 



图片点击可在新窗口打开查看此主题相关图片如下:201201166813.jpg
图片点击可在新窗口打开查看

图片点击可在新窗口打开查看此主题相关图片如下:201201166814.jpg
图片点击可在新窗口打开查看

 回到顶部
帅哥哟,离线,有人找我吗?
xiushuicunren
  9楼 | 信息 | 搜索 | 邮箱 | 主页 | UC


加好友 发短信 修水 村人
等级:青蜂侠 帖子:1597 积分:10223 威望:0 精华:0 注册:2010-1-12 23:03:00
  发帖心情 Post By:2012-1-16 10:22:54 [只看该作者]

 

上面的结果里,作者认为最好的是吸声材料H的方式。

但是,从上面的测试结果也可以看到:

1、  所有的吸声材料的结果都是一种折中。当要较多的去除较高频段的有害声波的时候,也会降低谐振部分的有用声波的声压。

2、  就是最好的吸声材料H方式,这个降低也是很大的:在60~120Hz频段,降低是明显的,甚至在最大的降低可以达到-12dB这样的程度。


     从这也可以知道吸声材料的使用要比其他的音箱更难一些。

在没有计算机测试系统的时代,这样的工作量是很大的,而且也有很大的盲目性和偶然性的。虽然现在有现代的计算机测试系统是方便了很多,但也还是较难做调整的,特别是要得到很好的效果的话。

 

是不是这样呢?


 回到顶部
帅哥哟,离线,有人找我吗?
xiushuicunren
  10楼 | 信息 | 搜索 | 邮箱 | 主页 | UC


加好友 发短信 修水 村人
等级:青蜂侠 帖子:1597 积分:10223 威望:0 精华:0 注册:2010-1-12 23:03:00
  发帖心情 Post By:2012-2-1 10:10:25 [只看该作者]

龙年了,各位龙年吉祥!

我说说,请各位接着说下去:

 

                                        都说难,到底难在什么地方?

 

从和倒相箱的开口处的声波的频响曲线对比是可以看到一些端倪的。

所以大家会说难在传输线音箱开口处的频响曲线里多了很多峰值很大的不需要的声波。

这也只是一个粗浅的看法。

进一步的说法是:多了很多甚至比基频的峰值还大的峰。

这是一个进步,但还是不够的,离本质还有一点点距离。

什么是真正的难点呢?

可能最准确的说法是:难在这些不需要的声波的频率的量大、峰值高,而且这些频率和需要的基频是很接近的。

为什么呢?

因为这两种频率很接近了,你就很难采用常规的吸声材料来达到去除不需要的声波而又不会减少或不严重的减少需要的声波。

你在一个两难的处境中,所以会很难。

 

你说是不是?



 回到顶部
帅哥哟,离线,有人找我吗?
xiushuicunren
  11楼 | 信息 | 搜索 | 邮箱 | 主页 | UC


加好友 发短信 修水 村人
等级:青蜂侠 帖子:1597 积分:10223 威望:0 精华:0 注册:2010-1-12 23:03:00
  发帖心情 Post By:2012-2-3 11:17:51 [只看该作者]

一个材料的吸声系数表:

 


图片点击可在新窗口打开查看此主题相关图片如下:材料的吸声系数表.jpg
图片点击可在新窗口打开查看

 

从这个表里,是不是可以看到什么规律?


 回到顶部