声学楼论坛技术交流区电声器件与系统设计各类扬声器设计室 → 测试TS参数所附加的质量根据什么附加最标准?


  共有19332人关注过本帖树形打印复制链接

主题:测试TS参数所附加的质量根据什么附加最标准?

帅哥哟,离线,有人找我吗?
yingying2430
  1楼 | 信息 | 搜索 | 邮箱 | 主页 | UC


加好友 发短信
等级:新手上路 帖子:91 积分:857 威望:0 精华:0 注册:2008-5-30 14:30:41
测试TS参数所附加的质量根据什么附加最标准?  发帖心情 Post By:2008-7-8 20:48:05 [只看该作者]


测试TS参数时,所要附加的质量根据什么质量附加最标准最标准?
我做过多次实验,同一个喇叭,测试TS时输入的其他数值都一样,只有附加质量不一样,但最后的参数差别不小,SPL差别竟然有1DB,

 回到顶部
帅哥哟,离线,有人找我吗?
jma
  2楼 | QQ | 信息 | 搜索 | 邮箱 | 主页 | UC


加好友 发短信 小马哥
等级:版主 帖子:3126 积分:27130 威望:2 精华:8 注册:2006-1-19 20:29:17
  发帖心情 Post By:2008-7-8 21:53:46 [只看该作者]

呵呵,楼主,应该看看非线性的帖子。


独学而无友,则孤陋寡闻!!!
E-Mail:jma168@163.com 广告勿扰!
 回到顶部
帅哥哟,离线,有人找我吗?
jma
  3楼 | QQ | 信息 | 搜索 | 邮箱 | 主页 | UC


加好友 发短信 小马哥
等级:版主 帖子:3126 积分:27130 威望:2 精华:8 注册:2006-1-19 20:29:17
  发帖心情 Post By:2008-7-8 22:04:59 [只看该作者]

先说顺性的,假如Cms非线形是这样的见下图:


图片点击可在新窗口打开查看此主题相关图片如下:cms.jpg
图片点击可在新窗口打开查看

在没有附加质量时测试的谐振频率(FS)的等效顺性是按照A点的顺性值进行计算的,但是当附加质量后,顺性的点发生了偏移到了顺性的最大点B点,那么其的下降后的谐振频率(FS')就是按照B点所提供的顺性进行计算的.

下面是阻抗曲线的示意图:


图片点击可在新窗口打开查看此主题相关图片如下:imp偏移.jpg
图片点击可在新窗口打开查看

假如阻抗曲线C的位置和CMS曲线的A点对应,当附加质量后按A点的顺性计算,阻抗曲线应该在D点的位置,但是当附加质量后由于CMS发生了变化,故到了E点.

这样以来,参数计算上,Mms等参数和实际的就有差异了.当然在这种情况下BL的位移也发生了变化.从而引起了多个参数量的变化。

这只是从Cms(X)的非线性上考虑的。
当然可以从BL(x)的非线性上考虑SPL等参数的变化。




独学而无友,则孤陋寡闻!!!
E-Mail:jma168@163.com 广告勿扰!
 回到顶部
帅哥哟,离线,有人找我吗?
jma
  4楼 | QQ | 信息 | 搜索 | 邮箱 | 主页 | UC


加好友 发短信 小马哥
等级:版主 帖子:3126 积分:27130 威望:2 精华:8 注册:2006-1-19 20:29:17
  发帖心情 Post By:2008-7-8 22:07:12 [只看该作者]

对于有没有附加质量的标准,个人认为只要在线性范围内附加质量的重量可以不做要求。


独学而无友,则孤陋寡闻!!!
E-Mail:jma168@163.com 广告勿扰!
 回到顶部
帅哥哟,离线,有人找我吗?
yingying2430
  5楼 | 信息 | 搜索 | 邮箱 | 主页 | UC


加好友 发短信
等级:新手上路 帖子:91 积分:857 威望:0 精华:0 注册:2008-5-30 14:30:41
  发帖心情 Post By:2008-7-9 8:02:12 [只看该作者]

jma大侠
你的顺性曲线图,小第都没有机工具测试,上图对于我有点困难,
大侠是否能说简单点

(以前我也请教过工程师,一个再电声行业做十几年的,他说是根据纸盆+帽子的质量,加附加质量(假如纸盆+帽子=150G),那么附加质量就是150G,又问了另外一个喇叭技术员,他又说是根据TS参数里的振动系统质量加附加质量(所加附的加质量与测的TS参数里的振动系统质量正负不超过10G)

 回到顶部
帅哥哟,离线,有人找我吗?
WAMM
  6楼 | 信息 | 搜索 | 邮箱 | 主页 | UC


加好友 发短信 消防队员1号
等级:蝙蝠侠 帖子:907 积分:7035 威望:1 精华:0 注册:2006-7-19 15:12:22
  发帖心情 Post By:2008-7-9 8:21:39 [只看该作者]

记得和一个同学讨论过这个问题.


 回到顶部
帅哥哟,离线,有人找我吗?
jma
  7楼 | QQ | 信息 | 搜索 | 邮箱 | 主页 | UC


加好友 发短信 小马哥
等级:版主 帖子:3126 积分:27130 威望:2 精华:8 注册:2006-1-19 20:29:17
  发帖心情 Post By:2008-7-9 8:33:40 [只看该作者]

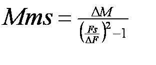
楼上的DX,用附件质量的方法测试TS参数,应该了解其原理:
先通过谐振频率的单峰曲线计算处QMS、QES、QTS。然后再通过下面的公式

图片点击可在新窗口打开查看此主题相关图片如下:未命名.jpg
图片点击可在新窗口打开查看
式中:△F:附加质量后降低到的频率。
        △M:附加质量。
计算出Mms继而计算出Cms.再计算出BL值等参数。
对于很多DX所说的附件质量后要使下降后的频率(△F)=0.7倍的Fs时,测试的TS参数最准确,这是没有科学依据的。
附件质量的测量,还要考虑振动系统因质量而下垂的量的变换(对cms,bl的影响)

呵呵,偶说的不一定全对。



[此贴子已经被作者于2008-07-09 08:43:11编辑过]


独学而无友,则孤陋寡闻!!!
E-Mail:jma168@163.com 广告勿扰!
 回到顶部
帅哥哟,离线,有人找我吗?
qms
  8楼 | 信息 | 搜索 | 邮箱 | 主页 | UC


加好友 发短信
等级:新手上路 帖子:142 积分:1070 威望:0 精华:0 注册:2008-7-3 19:43:23
  发帖心情 Post By:2008-7-9 16:16:03 [只看该作者]

不一定全对,贴那么多东西出来干嘛?岂不是误导人嘛.

其实我也看了一遍,楼上的所说的核心就是:

附件质量的测量,还要考虑振动系统因质量而下垂的量的变换(对cms,bl的影响)

这句话的核心价值就是:我说的都是对的,如果你测出来不对,那我不管.因为早告诉你还要考虑这个那个的量的变换.

楼主,我告诉你,你在五楼的那个回复基本上就对了,但是呢,你要搞清楚,并不是纸盆的全部重量.
至于是到底是哪几个重量相加,我留个小问题给你:
搞清楚Mms和Mmd是什么参数,而我们在运用公式计算的时候,Mmd中,我们通常秤量哪几个材料,或者哪些材料的几分之一部分.

 回到顶部
帅哥哟,离线,有人找我吗?
jma
  9楼 | QQ | 信息 | 搜索 | 邮箱 | 主页 | UC


加好友 发短信 小马哥
等级:版主 帖子:3126 积分:27130 威望:2 精华:8 注册:2006-1-19 20:29:17
  发帖心情 Post By:2008-7-9 17:23:25 [只看该作者]

楼主看下此贴:
http://www.acousticsblock.com/bbs/dispbbs.asp?BoardID=9&ID=8139


独学而无友,则孤陋寡闻!!!
E-Mail:jma168@163.com 广告勿扰!
 回到顶部
帅哥哟,离线,有人找我吗?
半通水
  10楼 | 信息 | 搜索 | 邮箱 | 主页 | UC


加好友 发短信 校长
等级:新手上路 帖子:188 积分:1281 威望:0 精华:0 注册:2008-6-12 22:33:24
  发帖心情 Post By:2008-7-9 20:21:59 [只看该作者]

楼主不妨用下面的两种方法对比测试下附件质量测试的结果。
先附加质量分别测试出下面两幅图的方式的谐振频率FS‘,然后再拿掉附加质量测试谐振频率FS。
附加的质量并没有刻意的规定多少克,只要两个阻抗曲线峰能明显的分开即可。经验数据也就是楼主在5楼给出的数据,但是小弟窝一般是用3/4振动系统的等效质量。

图片点击可在新窗口打开查看此主题相关图片如下:无标题.jpg
图片点击可在新窗口打开查看

图片点击可在新窗口打开查看此主题相关图片如下:无标题1.jpg
图片点击可在新窗口打开查看

误导与不误导,下面的拍砖。


而后,做一个简单的人
 回到顶部
总数 11 1 2 下一页